La Taberna del Puerto

La Taberna del Puerto (https://foro.latabernadelpuerto.com/index.php)
-   Otros temas náuticos (https://foro.latabernadelpuerto.com/forumdisplay.php?f=63)
-   -   Paul erling Johnson (-2021): Venus (https://foro.latabernadelpuerto.com/showthread.php?t=202461)

U25pies 07-09-2023 12:33

Paul erling Johnson (-2021): Venus
 
https://i.postimg.cc/xC92rFHc/Screen...fad96fbb0f.jpg
https://i.postimg.cc/yNVQ7qQ4/Screen...2-15-55-85.jpg

Paul erling Johnson (-2021)

Paul nació en un velero allá por los años 30 del pasado siglo

El primer "Venus" fue un botecito de 18 pies de eslora con el que cruzó el Atlántico la primera vez de los más de 40 cruces que haría: verano en UK, invierno en el Caribe. También estuvo un puñado de años perdido por el Pacífico en remotas islas.

Los "Venus" aquí anunciado en la revista Offshore en 1977 se hicieron en el Caribe en tres tamaños: 34, 38 y 42 pies de eslora

Se hicieron en Sandwich de PVC (que entonces era una novedad) peero con tropecientas capas de fibra por las dos caras: el más grande es un velero de 20 Toneladas cargado y 10 Toneladas (!) es el lastre

Aparejo de cangreja porque los océanos se cruzan viento a favor y porque la mayor sube y baja sin problemas, y un puñado de velas de tamaño manejable

Sin inox

Sin piloto automático

U25pies 07-09-2023 13:00

Re: Paul erling Johnson (-2021): Venus
 


Making of "The Sailor" (2021)

Ahora me entero que el equipo es Eslovaco

La directora: Lucia Kasova

U25pies 12-09-2023 10:37

Re: Paul erling Johnson (-2021): Venus
 
https://i.postimg.cc/ZK5LkH5Z/IMG-20230912-102751.jpg

La Ola de Gerstner 1802

https://es.m.wikipedia.org/wiki/Fran...f_von_Gerstner

La Ola de Franz Josef von Gerstner es buen aproximación a las Olas de verdad en el mundo real

En esta tremenda Ola joven muy joven vemos una parte con una pendiente de 6 grados, otra parte con 12 grados que ya es mucho bastante y una cresta con una pendiente de 18 grados (!?)

Cresta que se nos viene encima a unos 18 nudos de velocidad

Curiosamente John Illingworth en su libraco "Further Offshore" dice que la Ola joven es la más mejor para Surfear, me acordaba que hablaba del asunto, ayer agarré el libro y me llamó la atención que se refería expresamente a la Ola joven

Y hablando desde los años 40-50 del siglo pasado va y dice: tal vez en el futuro habrá veleros para Surfear la Ola joven

.

U25pies 12-09-2023 11:09

Re: Paul erling Johnson (-2021): Venus
 
https://i.postimg.cc/XY0986D2/IMG-20230805-190833.jpg

(Foto fija @ 0.60 Froude)

(1) Ludwig Prandtl 1922: unos 1000 Newtons
(2) Daniel Savitsky 1964: alrededor de unos 2500 Newtons
(5) Ludwig Prandtl 1922: 1000 Newtons

(3) Fuerza de la Gravedad
(4) Fuerza hidroEstática

La idea es Velocidad, Estabilidad del Equilibrio de los tres Ejes de giro (Yaw, Roll, Pitch) Actitud del Casco popa abajo y proa arriba, y alcanzar unos 9 nudos antes de la cresta para acelerar a 12-14 nudos y superar la ola del Casco por encima

U25pies 12-09-2023 11:25

Re: Paul erling Johnson (-2021): Venus
 
En algunos casos/Olas pues se minimiza la velocidad de impacto de la cresta y en otros casos pues la tabla de Surf cabinada se va con la Ola Surfeando a 18 nudos

El Momento de giro del Casco se minimiza
Dos Palas hacen al velero bastante blando
Un Foque rizado equilibra la Mayor rizada

La tabla de Surf cabinada podría ir sola, aunque no sería razonable; pero la cosa ejque si navega sola o casi sola entonces pues el timonel disfruta

U25pies 12-09-2023 12:15

Re: Paul erling Johnson (-2021): Venus
 
https://i.postimg.cc/8zGf3bpb/IMG-20230906-144212.jpg

Cada Vela con su palitroque para no pelearse

-la botavara es mía
-no, no, la botavara es mía

Botalón orientable, para orientarlo 30 grados a una banda y para recogerlo y que no moleste en puerto

Mayor con su botavara y el grátil cerca de las manos del navegante

Y el Foque en su botavara con un rizo y dos cargaderas: un rizo y arriar

U25pies 12-09-2023 13:00

Re: Paul erling Johnson (-2021): Venus
 
https://i.postimg.cc/Y0PDMffX/IMG-20230906-193106.jpg

(Plano Horizontal del Area Mojada)

Dicen que los "Venus" son tipo Colin Archer ... y no ... las Popas de los Colin Archer son bastante mazacoticas

Ciertamente Paul erling Johnson viene de ese mundo, con exactitud, pues su madre literalmente lo parió en un Colin Archer

Peero ... Las Popas de los Venus son muy finas

Que Es lo Lógico

Los cabezotas que nos salimos del camino lógico ... tenemos remedio: ajustar el Centro de la Carena (que es el centro del Volumen desplazado) a la posición Longitudinal del Centro de la Flotación (centro del Plano del Area mojada) que se puede calcular equilibrando un cartón en el filo de una navaja y luego comprobarlo numéricamente

.

U25pies 12-09-2023 21:31

Re: Paul erling Johnson (-2021): Venus
 
https://i.postimg.cc/sgXf1w4K/IMG-20230912-212242.jpg

El Velero navega a 8 nudos +2 grados Proa arriba

La Resistencia al Avance ronda los 954 Newtons
Las Velas nos dan unos 1000 Newtons

El Velero puede acelerar porque con una pendiente (P) de 7 grados obtenemos una Fuerza de 1320 Newtons, y así 1000 de las Velas + 1320 de la Pendiente son 2320 Newtons

Y a 9 nudos de Velocidad la Resistencia al Avance ronda 1379 Newtons

Y si la Ola levanta la Popa del velero entonces sale corriendo porque desaparecen 575 Newtons debido a la Actitud del Casco +3 grados Proa arriba

Total, lo que parecía imposible en terreno llano, Planear, es posible jugando con una joven Ola

.

U25pies 12-09-2023 21:38

Re: Paul erling Johnson (-2021): Venus
 
Hay Fuerza de sobra para salir volando Planeando

Con una Pendiente de 12 grados tenemos una Fuerza del 20% del Desplazamiento que en este caso serían 2200 Newtons es decir incluso a palo seco el velero alcanzaría 12 nudos entrando en la zona de Planeo Libre: se abre la puerta para alcanzar 20 nudos

El problema ejque la reacción del velero no es instantánea y aquí cada segundo cuenta y un segundo es un montón en Olas jóvenes de 4-5-6 segundos entre cresta y cresta

U25pies 12-09-2023 21:55

Re: Paul erling Johnson (-2021): Venus
 
Y hay Fuerza de sobra ...

... para dar tres o cuatro, seis o siete, vueltas de campana

Fuerza del Viento, Fuerza del Mar, Fuerza de la Tierra

El resultado depende de cómo pillen al Velero

U25pies 13-09-2023 09:44

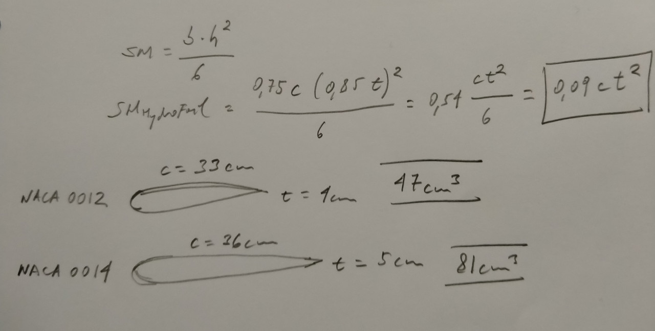
Re: Paul erling Johnson (-2021): Venus
 
https://i.postimg.cc/RFc60xpT/IMG-20230913-093143.jpg

La Pala del Timón: los candidatos

El primer candidato es un perfil NACA 0012 que con 33 centímetros de cuerda nos da 4 cm de grosor (t) = 0,012 x 33

Traduciendo de Viga a hidroFoil el Momento Resistente de un hidroFoil es ...

0,09 x cuerda x grosor (t)^2

Y tendríamos 47 centímetros cúbicos

En la mitología escandinava los Ejes de los nueve Mundos están hechos de Fresno

He encontrado una cifra fiable: la madera de Fresno aguanta 60 Newtons por milímetro cuadrado

Peero ... el cliente es un cabezota exagerao ... que si 'por ascaso'

Jo er, es un botecito completamente bueniño que no tira de timón ...

Ejque ...

Bueno, vale, pues un perfil más grueso (0014 NACA) y encima 800 gramos metro cuadrado de fibra

Con un perfil tan grueso y de nariz gruesa ... en realidad es una pala para 5 nudos y a 20 nudos podría meter aire de la superficie ... Así que le ponemos una tablita horizontal como la que llevan los motores fueraborda para no chupar aire de la superficie

U25pies 13-09-2023 10:15

Re: Paul erling Johnson (-2021): Venus
 
https://i.postimg.cc/T3ZcsGzd/IMG-20230913-100603.jpg

@ 12-14 nudos de Velocidad ... El Espumarajo de la ola de la proa se acerca a la mitad (1/2) de la Eslora

Y este es el tercer motivo de la popa ancha ancha: Estabilidad

Lo suyo, lo lógico, para un velero de Crucero que iza 10-15 metros cuadrados de Trapo por Tonelada (y no es un velero de alta competición que iza para empezar Foque + Mayor 40 (!!!) metros cuadrados por Tonelada) lo suyo, lo lógico, son los Venus de Paul erling Johnson: Popa muy fina

Peero ... en un botecito pequeño y ligero necesitamos la Popa ancha para aguantar las Velas

El primer motivo es aguantar las Velas
El segundo motivo es una salida del agua recta para no crear bajas presiones Laterales
El tercer motivo es Estabilidad al superar la ola del Casco

Bertie 13-09-2023 10:30

Re: Paul erling Johnson (-2021): Venus
 
Cuanta ciencia hay detrás de todo esto...

Hablando de timones, en CruisersForum hay un holandés que se ha currado una utilidad en Excel para diseñar palas con perfil NACA, por si alguien se quiere hacer una 'custom'. Hasta te genera los perfiles para AutoCAD.

Por si interesa, este es el hilo en CF: https://www.cruisersforum.com/forums...cf-241065.html
Y aquí se puede descargar la excel y el manual: https://www.cruisersforum.com/forums...?do=file&id=76

U25pies 13-09-2023 11:11

Re: Paul erling Johnson (-2021): Venus
 
https://i.postimg.cc/zGC98Rvy/IMG-20230913-110602.jpg

Quitamos las Bajas Presiones Laterales en Popa ...

Y con un muy cuidadoso díseño de la Proa minimizamos las Altas Presiones Laterales

Si además, encima, la Proa sale del Agua ... Entonces el maldito Momento de Giro del Casco prácticamente desaparece

Y el Centro HidroDinámico de la suma de la Fuerzas Laterales (Carena + Orza + Timón) se va bien a Popa de la posición longitudinal del Centro de Gravedad

Es Estable tanto el Equilibrio HidroDinámico como el AeroDinámico

Se podría dejar el barquito solo, aunque no sería razonable

U25pies 13-09-2023 11:25

Re: Paul erling Johnson (-2021): Venus
 
https://i.postimg.cc/3rmtV0wV/IMG-20230908-121035.jpg

El maldito Momento de Giro del Casco ...

... es grande y extensa familia hidroDinámica

Que se resume en

Si Ola joven ... muy joven de grande pendiente y escarpada cresta quieres Surfear ... Y se hunde la Proa ... date por jodido

U25pies 13-09-2023 11:52

Re: Paul erling Johnson (-2021): Venus
 
https://i.postimg.cc/rwPK2Jy9/Screen...1-50-04-03.jpg

Por qué

Por qué Paul Erling Johnson dibujó sus Venus con Popas muy finas

Respuesta

Para controlar "Pitch"

.

U25pies 13-09-2023 12:12

Re: Paul erling Johnson (-2021): Venus
 
https://i.postimg.cc/L6Q5KTN8/Screen...2-05-46-76.jpg

Y llegamos y volvemos al pleito "Satanita" (!) en la Casa de los Lores

Salida de la Regata

Ya tenemos Abatimiento/ guiño (Yaw) ... el maldito Momento de Giro del Casco se va despertando

Escora (Roll) y Escora con una Popa ancha y un desencaje entre el Centro de la Carena y el Centro de la Flotación = Pitch

Encima, para rematar la faena, la Fuerza de las Velas: más madera: más "Pitch"

El maldito Momento de Giro del Casco se vuelve to loco

Y la Fuerza de las Velas por su brazo de Palanca (Seno del Angulo de Escora x Altura del centro AeroDinamico sobre el centro hidroDinámico de las Fuerzas Laterales) ...

Lanza al Velero contra Valkyrie II hundiendo y matando a un tripulante

https://i.postimg.cc/yYRcVxrR/IMG-20230913-123158.jpg

El caso "Satanita"

Toda la amplia y extensa Familia Monster del Maldito Momento de Giro del Casco se habían reunido

Seis u ocho, diez o catorce, fornidos marineros al Timón intentan meter en vereda a toda la amplia y extensa Familia Monster

Y la Fuerza de las Velas por su brazo de palanca da la puntilla

.

.

U25pies 13-09-2023 13:11

Re: Paul erling Johnson (-2021): Venus
 
https://i.postimg.cc/c4jdMqwM/IMG-20230913-130648.jpg

La Popa fina de los Venus

Paul Erling Johnson por un lado como buen seguidor de los clásicos ...

https://en.m.wikipedia.org/wiki/Thomas_Harrison_Butler

... así busca y consigue que la Escora no hunda la Proa

Por otro lado busca no darle facilidades a la Ola que llega por Popa

Y la Proa es tipo cuchara o cucharón para maximizar la componte Vertical de la Alta presión y minimizar su componente Lateral

U25pies 13-09-2023 17:25

Re: Paul erling Johnson (-2021): Venus
 
https://i.postimg.cc/3xvNLFK0/IMG20230913171926.jpg

Control de "Pitch"

(1) Equilibrio Longitudinal: El Eje de Giro Pitch pasa por el Centro de la Flotación, por tanto el Centro de la Carena va en el Centro de la Flotación o a popa del Centro de la Flotación, y a su vez el Centro de Gravedad va a popa del Centro de la Carena para tener en cuenta la Fuerza de las Velas o una parte de la Fuerza de las Velas

(2) Altura Metacéntrica Longitudinal de tamaño sideral, en este caso 18 metros

(3) Carena de tal forma que al acelerar saque la Proa del Agua

---

UltraModerna Tabla de Surf ... para un Carcamal (old fogey)


https://i.postimg.cc/rmGmNVNd/Screen...7-41-41-91.jpg

U25pies 13-09-2023 20:40

Re: Paul erling Johnson (-2021): Venus
 
https://i.postimg.cc/CMQ75KTN/IMG-20230913-202640.jpg

Resuelta la cuestión hidroDinámica ... Entonces el barquito podría navegar solo solito

Y si puede navegar solo eso significa que el Timonel puede disfrutar con las Olas

Por ejemplo

Con 20 grados de Escora que es un montón la Fuerza de la Mayor rizada (FM) tendría un brazo de Palanca de 1,7 metros, y su componente Lateral tiene un brazo de Palanca de 0,70 hasta el Centro hidroDinámico (CH)

Así que solo hay que compensar 1 metro más la diferencia de trapo, y el Foque rizado y centrado tiene un brazo de Palanca de 3 metros. Así es cómo Joshua Slocum navegaba sin piloto automático, si bien en su caso el truco estaba en que navegaba en un tocho de gabarra que escoraba poco.

La Mayor va bien controlada al final del carril de la Contra-Escota-Retenida (tres cabos en uno)

La cosa no es dejar el barquito solo, la cosa ejque sea bueniño y tienda al buen comportamiento

https://i.postimg.cc/sxnbfJ1b/IMG-20230913-212800.jpg

Viento en la Popa

La Fuerza del Foque entonces es Cero Patatero

La Mayor lleva al barquito de orzada ... le entra viento al Foque ... y el Foque detiene la orzada

Que insisto: la cosa de forzar el razonamiento hasta que el barquito navegue solo no es para dejarlo solo, sino para encajar bien las piezas del rompecabezas y se comporte bien

.

.

U25pies 14-09-2023 10:22

Re: Paul erling Johnson (-2021): Venus
 
https://i.postimg.cc/Lsjj8Fzd/IMG-20230914-101537.jpg

(1) cráneo/cabeza del Yayonauta Carcamal (old fogey) que asoma por la cubierta pues va encajado en bañera profunda con 50 cm de respaldar, su arnés camisita canesú y todos sus arreos

(2) único winche del barquito para subir la tremenda Orza y para las anclas y para tensar el Foque

(3) agarra manos en voladizo al final de la cabinita

(4) una de las dos cañas del timón

U25pies 15-09-2023 12:12

Re: Paul erling Johnson (-2021): Venus
 


Evidentemente

Evidentemente la Tabla de Surf de 1 Tonelada del Yayonauta no es comparable a la Tabla de los chavales ... peero se le aproxima

https://i.postimg.cc/7Z52BmsK/IMG-20230915-124922.jpg

Si 'solo' sopla 25-30 nudos pues entonces abrimos la botavara del Foque para jugar con las olas entre de través y a un largo

(Los cabos de la Botavara del Foque van al winche, y también los cabos del Spi)


U25pies 16-09-2023 11:30

Re: Paul erling Johnson (-2021): Venus
 
https://i.postimg.cc/nrY4BrCm/Screen...1-23-02-32.jpg

Entramos en la Zona que podríamos llamar de 'planeo libre' o 'planeo puro' cuando la Carena supera la ola de la proa, y al superar la ola de la proa entonces la proa desciende, por ejemplo de +4 grados proa arriba a +2 grados

Y entonces la Resistencia cae aunque al sumar el aumento de velocidad la curva total de resistencia tiene forma de línea horizontal o ligeramente inclinada hacia arriba o primero baja y luego sube un poco

La cosa ejque si alcanzamos 12 nudos se abre la puerta de los 20 nudos

U25pies 17-09-2023 08:20

Re: Paul erling Johnson (-2021): Venus
 
No

No, no ... no es así

Ayer por la noche puse/dibujé la Tabla horizontal y con el agua inclinada 6 grados y calculé como una motora (Savitsky, 1964) @ 12 nudos

Y resulta 11.322 Newtons @ 10 cm del Centro de Gravedad, casi clavado

Lo primero ejque el Savitsky es un monstruo, es precioso cómo sus Fórmulas recrean la realidad

Lo segundo ejque hay que ver lo que cuesta librarse de formas de pensar del Pasado: jo er que no estamos en terreno llano, jo er que el agua en la Ola está inclinada

Total, es precioso cómo la Tabla Surfea

https://i.postimg.cc/rmjcfTMc/IMG20230917103351.jpg

Despegue @ 9 nudos
Sale literalmente Volando @ 12 nudos y 6 grados de Angulo de Ataque

.

U25pies 17-09-2023 13:31

Re: Paul erling Johnson (-2021): Venus
 
https://i.postimg.cc/QCwm84fB/IMG-20230916-111228.jpg

En estas cuestiones cada uno marca como quiere

Aquí por ejemplo traza una marca o referencia en 1,5 x Raíz Cuadrada de la Eslora en la Flotación (LWL)

Pienso que para un Velero las Referencias de Velocidad son ...

1,1666 (= 0,35 Froude) que es la Velocidad en ceñida para la gran mayoría
2 (= 0,60 Froude) que es cuando la cosa se anima
> 2,666 (= 0,80 Froude) que es Woooow hasta el infinito y más allá



Todas las horas son GMT +1. La hora es 19:07.

Powered by vBulletin® Version 3.7.0
Copyright ©2000 - 2025, Jelsoft Enterprises Ltd.
© La Taberna del Puerto